延迟退休已经敲定,其影响一目了然。而一起推出的“最低缴费年限从15年延长到20年”,影响会更加隐晦,
社保交满15年就不用再交了吗?当然不是!大家都知道,养老金要交满15年,退休后才能领,但90%的人都不知道,终身医保待遇也是有年限要求的。
如果社保只缴15年,对养老保险和医保有什么影响呢?我们一起来看看吧。
医保要累计交满一定年限,退休后才能享受终身医保待遇。具体这个年限,我们来看一下:

可以看到,除了个别城市是要求15年,大多数都是要求女性20年,男性25年,甚至有些地方像武汉、长沙,还要求男性要交满30年。你要是只交15年,退休后就享受不了终身医保待遇,到时候吃亏了,想补缴就很难了!
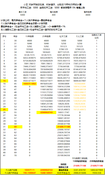
另外,还有很重要的一点就是,社保交的越久,退休后领的养老金就越多。我们以15年和25年为例,假设小王每个月工资5000块,30岁开始交社保。
如果交15年,60岁退休时每年可以领到养老金4万8,而如果交25年,每年就可以领8万5,这一下子可是差了3万多!

而且,这个差距还会不断拉大,等到七十岁的时候,累计领取的养老金已经差了四十几万了。
所以说,千万别再以为社保交满15年就够了,养老保险交的越多,退休也能领的越多,而医保则需要缴满一定年限后,才能享受终身医保待遇。我建议大家,社保能多交就多交,最好交到退休。